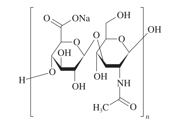
玻璃酸钠
Bolisuanna
Sodium Hyaluronate
(C14H20NNaO11)n
[9067-32-7]
本品系鸡冠或微生物(马疫链球菌)发酵液中提取的酸性黏多糖,由D-葡萄糖醛酸和N-乙酰基-D-氨基葡萄糖双糖单位构成的糖胺聚糖的钠盐。由鸡冠提取制得的制品,应去除或灭活病毒和传染因子;由发酵法制备的制品,应控制有害的链球菌分泌物。按干燥品计算,含(C14H20NNaO11)n应为90.0%~110.0%。
【性状】本品为白色或类白色粉末、颗粒或纤维状物。
本品在乙醇或丙酮中不溶。
【鉴别】(1)本品的红外光吸收图谱应与对照图谱(光谱集1173图)一致。
(2)本品的水溶液显钠盐的鉴别反应(通则0301)。
【检查】特性黏数 本品 引湿性,称量过程中注意防潮。
取本品适量,精密称定,置200ml量瓶中,加0.2mol/L氯化钠溶液适量使溶解,仔细观察待溶液中无气泡,用0.2mol/L氯化钠溶液稀释至刻度,作为供试品溶液(1)。
取供试品溶液(1)分别用0.2mol/L氯化钠溶液稀释至0.8倍、0.6倍和0.4倍,作为供试品溶液(2)、供试品溶液(3)和供试品溶液(4),必要时经3号垂熔玻璃漏斗滤过后使用。
照黏度测定法(通则0633 法),在30℃±0.1℃下测定0.2mol/L氯化钠溶液的流出时间t0与四个供试品溶液的流出时间t1、t2、t3、t4;选用合适内径的乌氏黏度计,使0.2mol/L氯化钠溶液流出时间为200~300秒,调整供试品溶液(1)称样量,使其流出时间为0.2mol/L氯化钠溶液流出时间的2.0~2.4倍。所有测试采用同一黏度计,不重装试样,依法重复测定3次,3次测定值与平均值的差值不得超过平均值的±0.35%。采用四点法,最小二乘法线性回归计算特性黏数[η],以比浓黏度[ηsp/C,即(ηr-1)/C]对浓度C(g/L)作线性回归,当浓度趋近于0时,线性回归方程的截距即为特性黏数,线性回归系数应不小于0.95,单位为L/g。
按干燥品计算,特性黏数应在1.00~2.49L/g之间或2.50~5.50L/g。
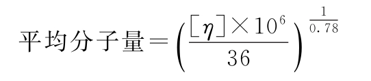
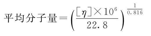
平均分子量 根据本品的特性黏数[η]计算平均分子量,计算结果应在标示平均分子量范围内。
标示平均分子量范围在500 000~1 490 000,按下式计算平均分子量:
标示平均分子量范围在1 500 000~3 900 000,按下式计算平均分子量:
酸碱度 取本品适量,加水溶解并稀释制成每1ml中约含5mg(按干燥品计算)的溶液,依法测定(通则0631),pH值应为5.0~8.5。
溶液的澄清度与颜色 取本品0.10g(按干燥品计算),加0.9%氯化钠溶液30ml,振摇使其混匀并溶解,溶液应澄清(通则0902 法);照紫外-可见分光光度法(通则0401),在600nm的波长处测定,吸光度不得过0.01。
氯化物 取本品约10mg,依法检查(通则0801),与标准氯化钠溶液5.0ml制成的对照液比较,不得更浓(0.5%)。
硫酸盐(适用于鸡冠提取来源产品) 取本品约10mg,加水2ml溶解,加盐酸2ml置沸水浴中水解6小时,取出放冷后,加氯化钡试液5滴,不得立即产生沉淀。
蛋白质 取本品适量,精密称定,加0.1mol/L氢氧化钠溶液溶解并定量稀释制成每1ml中约含20mg(按干燥品计算)的溶液,作为供试品溶液。
取牛血清白蛋白对照品适量,加0.1mol/L氢氧化钠溶液溶解并定量稀释制成每1ml中约含10μg的溶液,作为对照品溶液。
精密量取供试品溶液、对照品溶液和空白溶液各1.0ml,分别加碱性酒石酸铜溶液(取无水碳酸钠20g,加0.1mol/L氢氧化钠溶液溶解成1000ml,摇匀,作为A液;取硫酸铜0.5g,加1%酒石酸钾钠溶液溶解成100ml,作为B液。临用前,取A液与B液按50∶1混合,摇匀)5ml,混匀,室温放置10分钟,再加福林试液1ml,混匀,室温放置30分钟,照紫外-可见分光光度法(通则0401),在750nm的波长处测定吸光度。供试品溶液的吸光度不得大于对照品溶液的吸光度(0.05%)。
核酸 取本品适量,加水溶解并定量稀释制成每1ml中约含2mg(按干燥品计算)的溶液,照紫外-可见分光光度法(通则0401),在260nm的波长处测定,吸光度不得过0.1。
干燥失重 取本品0.5g,以五氧化二磷为干燥剂,在60℃减压干燥6小时,减失重量不得过15.0%(通则0831)。
铁 取供试品约0.5g,精密称定,置聚四氟乙烯消解罐内,加硝酸10ml,置微波消解炉内,进行消解。消解完全后,取消解内罐缓缓加热至红棕色蒸气挥尽并近干,放冷,用2%硝酸溶液转移至25ml量瓶中,并用2%硝酸溶液稀释至刻度,摇匀,作为供试品溶液。
同法制备空白溶液。
取铁单元素标准溶液,用2%硝酸溶液稀释制成每1ml中约含铁10μg的标准贮备液,临用时,分别精密量取适量,用2%硝酸溶液稀释制成每1ml中约含铁0~2000ng的对照品溶液。
取供试品溶液、空白溶液和对照品溶液,照原子吸收分光光度法(通则0406 法),采用火焰原子化器,在248.3nm的波长处测定。按干燥品计算,含铁不得过0.008%。
重金属 取本品0.5g,依法检查(通则0821 法),含重金属不得过百万分之二十。
砷盐 取本品1.0g,置坩埚中,加2%硝酸镁乙醇溶液10ml,将坩埚内的液体引燃,待火焰熄灭后,先用小火使炭化,至内容物变成近白色的物质;再在500~600℃炽灼使完全灰化,放冷,加盐酸5ml与水23ml,水浴加热使溶解,依法检查(通则0822 法),应符合规定(0.0002%)。
溶血性链球菌(适用于微生物发酵来源产品) 取本品0.5g,置150ml锥形瓶中,加0.9%无菌氯化钠溶液100ml,振荡使溶解,作为供试品溶液。分别取供试品溶液0.5ml涂血琼脂平板2块,置37℃培养箱培养48小时。应无溶血性菌群出现或显微镜下未观察到溶血性链球菌。
溶血(适用于微生物发酵来源产品) 取本品0.4g,置150ml锥形瓶中,加0.9%无菌氯化钠溶液100ml,振荡使溶解,分别取0.5ml加至2个试管中,再分别加入1%血液混悬液0.5ml,混匀,作为供试品溶液。
各取0.9%无菌氯化钠溶液0.5ml,分别置2个试管中,再分别加入1%血液混悬液0.5ml,混匀,作为空白对照溶液。
取灭菌纯化水0.5ml,同空白对照溶液同法操作,作为阳性对照溶液。
取供试品溶液、空白对照溶液和阳性对照溶液置37℃培养箱培养2小时,观察结果。
结果判断:阳性对照管浑浊,空白对照管与供试品管中的红细胞沉淀且上清液均为澄清透明,判为阴性;如果空白对照管上清液为澄清透明,而供试品管的上清液为浑浊,判为阳性。
微生物限度 取本品5.0g,加入含玻璃酸酶45 000单位的无菌磷酸盐缓冲液(pH 7.2)100ml, 4℃放置4小时后,取出,放至室温,42℃振摇30分钟,制得1∶20的溶液作为供试品溶液,依法检查(通则1105与通则1106)。每1g供试品中需氧菌总数不得过102cfu,霉菌和酵母菌总数不得过20cfu,不得检出金黄色葡萄球菌、铜绿假单胞菌和大肠埃希菌。鸡冠提取来源产品,每10g供试品中不得检出沙门菌。
【含量测定】 取本品,精密称定,加水溶解并定量稀释制成每1ml中约含80μg的溶液,摇匀,作为供试品溶液。
取葡萄糖醛酸对照品适量,精密称定,加水溶解并定量稀释制成每1ml中约含60μg的溶液,摇匀,作为对照品溶液。
精密量取对照品溶液0、0.2ml、0.4ml、0.6ml、0.8ml、1.0ml,分别置25ml具塞试管中,依次分别加水至1.0ml,振摇,冰浴中冷却,并在不断振摇下缓缓滴加0.025mol/L硼砂硫酸溶液5.0ml,密塞,沸水浴中加热10分钟,迅速冷却,精密加入0.125%咔唑无水乙醇溶液0.2ml,摇匀,沸水浴中加热15分钟,冷却至室温。照紫外-可见分光光度法(通则0401),以0管为空白,在530nm的波长处测定吸光度,以葡萄糖醛酸的含量(μg)对相应的吸光度计算回归方程。
精密称取供试品溶液1g(1g相当于1ml),置25ml具塞试管中,自“冰浴中冷却”起照标准曲线制备项下的方法测定,由回归方程计算葡萄糖醛酸的含量,乘以2.0675,即得。
【类别】增稠剂、润滑剂和润湿剂等。
【贮藏】避光,密封,在冷处保存。
【标示】①应标明样品来源。②应标明特性黏数、平均分子量的标示量。③细菌内毒素如需控制,应标明限值。
注:本品 引湿性。